近日,湘雅科研团队取得了多项突破。敲黑板!一起看看2024年3月的科研成果吧~
以下成果根据湘雅各二级学院、附属医院官网等整理。
雷光华/曾超/魏捷团队在《Annals of the Rheumatic Diseases》发文揭示全球早发骨关节炎疾病负担
近日,中南大学湘雅医院骨科/老年骨关节疾病防治教育部重点实验室/国家老年疾病临床医学研究中心雷光华、曾超、魏捷教授团队,在骨关节炎领域取得的重要研究成果“Global burden of early-onset osteoarthritis, 1990–2019(1990-2019年全球早发骨关节炎疾病负担)”在专业领域顶刊《Annals of the Rheumatic Diseases(风湿病年鉴)》(IF 27.4)以“原创论著”形式在线发表。
雷光华/曾超/魏捷教授团队首次系统研究了全球范围内过去30年不同地区、不同关节、不同年龄、不同性别的人群早发骨关节炎的疾病分布及其变化趋势、经济损失情况和归因危险因素,发现1990至2019年间全球范围内早发骨关节炎的发病人数、患病人数、健康寿命损失年数(YLDs)和相应年龄标化率均呈现逐年上升的趋势,且早发骨关节炎导致2019年的全球经济支出超过了1068亿美元,因生产力损失接近60%,其中由肥胖导致的早发骨关节炎引起的YLDs相比1990年增加了3倍以上。该研究填补了早发骨关节炎在流行病学与卫生经济学研究领域的空白,将为各国政府制定卫生政策、优化资源分配提供决策依据。

原文链接:https://ard.bmj.com/content/early/2024/03/01/ard-2023-225324
湘雅医院中西医协同医工交叉团队发表组分配伍新制剂
近日,国家中西医协同“旗舰”医院试点项目建设单位——中南大学湘雅医院与中南大学化学化工学院联合攻关,在国际高水平期刊《先进功能材料》(Advanced Functional Materials),(Nature指数期刊,IF:19.0,中科院1区Top)发表题为天然药物小分子共组装凝胶粉用于治疗创伤性脑损伤(A Self-Gelling Powder Directly Co-Assembled by Natural Small Molecules for Traumatic Brain Injury)的中药组分配伍凝胶粉末的原创性研究论文。
这一发现将具备两大优势,一方面,粉剂形式有利于创伤性损伤局部出血的快速止血;另一方面,药物自组装凝胶形式有效地避免了传统高分子凝胶体系的生物毒性、低负载率、难降解性等缺陷。本研究制备了一种由硼酸诱导的芦丁-芒果苷共组装凝胶粉新制剂。其中,芦丁和芒果苷这两种中药小分子的顺邻二羟基与硼酸根离子形成阴离子团簇后,在π-π堆积和氢键相互作用下共组装构成水凝胶网络,最后经过冷冻干燥获得药物小分子共组装凝胶粉剂。该凝胶粉具有自胶化能力,其再生凝胶在干燥-吸水循环后仍能保持良好的自愈特性和可塑性。在创伤性脑损伤的应用中,该凝胶粉可通过喷洒形式置于损伤区,实现及时快速止血的同时能够被凝胶化,继而以凝胶形式填充破损创口,最后原位释放两种药物小分子主要通过抗炎、缓解水肿等途径发挥神经保护作用。综上所述,“天然药物小分子共组装凝胶粉”实现了止血和药效学的协同作用,是对课题组以往药物小分子自组装水凝胶理念(Nat Commun. 2019;10(1):1604.)的优化和突破,同时为中医药现代化研究提供新思路。

原文链接:https://doi.org/10.1002/adfm.202401485
江泓团队在柳叶刀子刊《eBioMedicine》发表遗传性共济失调研究成果
近日,中南大学湘雅医院神经内科江泓教授团队在遗传性共济失调领域取得重要研究进展,在柳叶刀子刊《eBioMedicine》(电子生物医学)(IF=11.1)以论著形式,发表了题为“The genetic landscape and phenotypic spectrum of GAA-FGF14 ataxia in China: a large cohort study”(中国GAA-FGF14共济失调的遗传和表型谱:一项大型队列研究)的研究论文。研究发现,中国共济失调人群中SCA27B的发病率为1.3%,明显低于欧美地区,且合并获得性或其他遗传疾病可能会导致其表型变异和不同的进展速度。此外,本研究首次报道了FGF14双等位基因(GAA)202/222可能致病;在母系传递过程中,FGF14的GAA重复范围可由非致病区间(GAA)200–249扩展为致病区间(GAA)≥250。这些发现极大丰富了SCA的遗传和表型谱,为SCA27B的基因诊断和遗传咨询提供了重要依据。

李艳萍团队在国际学术期刊 《临床和转化医学》发表原创性研究成果
近日,中南大学湘雅医院生殖医学中心、湖南省女性生殖健康临床研究中心李艳萍教授、姚仲元主管技师、夏秋平主管技师团队联合亿康医学在国际知名期刊《临床和转化医学》(Clinical and Translational Medicine)(IF=10.6,Q1)上发表原创性研究成果,“基于T2T-CHM13的纳米孔测序,可准确检测并阻断高度重复异染色质区域中结构重排在人类胚胎中的传递(Nanopore sequencing with T2T-CHM13 for accurate detection and preventing the transmission of structural rearrangements in highly repetitive heterochromatin regions in human embryos)”。该研究创新性地将T2T-CHM13与纳米孔测序技术联合,首次揭示了T2T-CHM13参考基因组在生殖领域的应用价值。该研究团队开发了一种基于T2T-CHM13和纳米孔测序的方法,准确鉴定了异染色质区域(着丝粒附近)的倒位和平衡易位断点,并利用侧翼SNPs成功构建单体型,确定胚胎是否携带倒位或易位,最终帮助患者筛选获得完全正常的胚胎,生育健康宝宝,成功阻断了倒位和易位在子代的传递。该研究方法无需完整家系,仅需对结构重排携带方的外周血进行第三代测序。

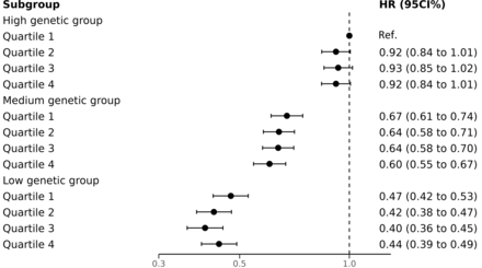
欧阳正晓团队在《Annals of Rheumatic Disease》发表原创研究
近期,中南大学湘雅二医院骨科欧阳正晓副研究员团队与华中科技大学公共卫生学院田耀华团队,合作在《Annals of Rheumatic Disease》(IF=27.4)上发表了题为Associations of residential greenness with bone mineral density and osteoporosis: the modifying effect of genetic susceptibility的原创研究。
骨质疏松症以骨量丢失,易骨折为特点,导致慢性疼痛、活动能力下降和生活质量降低。骨质疏松症已经成为全球性的主要健康问题,随着人口迅速老龄化和生活方式的变化,全球患病率不断上升。骨质疏松症是由遗传、激素水平异常和环境因素共同作用引起的疾病,而绿地接触与较低的骨质疏松症风险有关。该研究深入探究了居住区绿化对骨密度和骨折风险的影响,并着重评估了遗传易感性在这一关联中的潜在修饰作用。利用不同缓冲距离下的归一化植被指数(NDVI)作为居住区绿化的指标,并通过线性回归、logistic回归和Cox比例风险模型,全面分析了绿化与骨健康之间的关系。此外,研究团队还运用多基因遗传风险评分(PRS)进一步揭示了基因风险与绿化对骨折风险的共同影响。研究结果为我们理解城市环境与骨健康关系提供了新的视角,并为未来的公共卫生政策和城市规划提供了有益的启示。


原文链接:https://ard.bmj.com/content/early/2024/01/16/ard-2023-224941
屈健团队在《Travel Medicine and Infectious Disease》杂志发表奥玛环素在重症日本立克次体感染患者中的应用
近日,中南大学湘雅二医院药学部屈健教授团队在 《Travel Medicine and Infectious Disease》杂志(IF:12)在线发表了题为“Application of Omadacycline in the Treatment of Severe Japanese Spotted Fever”的病例报道。
本文全球首次报道了一例奥玛环素治疗日本立克次体感染的患者,用药后患者立克次体感染明显好转。奥玛环素为新型四环素类抗生素,是在米诺环素的基础上进行结构修饰而成,其设计旨在克服细菌等病原微生物对现有四环素类药物的耐药性并提高广谱抗菌活性,对临床常见的革兰氏阳性菌、革兰氏阴性菌、非典型病原体和厌氧菌等具有良好的抑菌活性。体外药敏研究显示奥马环素对立克次体MIC较低,可能在治疗此类感染中有效。且奥玛环素对肝肾功能影响小,重度肝肾损伤的患者无需调整剂量,在重症患者和广泛的多重耐药细菌病原体方面显示出良好的前景。目前对于奥玛环素用于治疗立克次体的研究十分有限。本病例研究的目的是探讨奥马环素对日本立克次体的疗效,研究目标是为这类特殊病原菌严重感染的最佳治疗策略提供新思路。

图:患者全身可见散在红色斑疹,范围至双下肢、臀部、躯干,颜色深,压之褪色,前臂、双下肢、踝部存在大量水泡,双腿末端发黑,皮温低。
原文链接:https://doi.org/10.1016/j.tmaid.2024.102707
郭文斌/郎兵团队最新研究发现伴睡眠障碍的重性抑郁障碍患者的默认模式网络的网络一致性异常
近日,中南大学湘雅二医院精神科郭文斌、郎兵教授团队在国际知名期刊《General Psychiatry》(IF:11.9)以论著形式在线发表了题为Association between abnormal default mode network homogeneity and sleep disturbances in major depressive disorder”的原创性研究论文,湘雅二医院为第一作者(黄牧芝硕士、欧阳盼博士)与通讯作者(郭文斌教授、郎兵教授)单位。
睡眠障碍是重性抑郁障碍(MDD)的一种常见的伴发症状,它可能会改变默认模式网络(DMN)的网络一致性(NH)。睡眠节律可能与DMN的功能有关,目前尚不清楚首发的MDD患者和未用药的MDD患者中发现DMN中NH异常。该课题组采用NH法分析伴有睡眠障碍和不伴随睡眠障碍症状的MDD患者之间DMN的变化。研究发现与不伴随睡眠障碍的患者及健康对照相比,伴随睡眠障碍的患者DMN中的两个区域出现了异常,分别是左内侧前额叶皮质区和右侧楔前叶区,由此可知它们与MDD的睡眠障碍相关。因此DMN的NH异常可能有助于区分伴随睡眠障碍的患者和不伴随睡眠障碍的患者。DMN也许在伴有睡眠障碍的MDD的神经生物学机制中发挥着关键作用。

原文链接:https://pubmed.ncbi.nlm.nih.gov/38510926/
刘傥团队在《Experimental Hematology & Oncology》杂志发表利用铁死亡治疗肉瘤的研究新进展综述
近日,中南大学湘雅二医院骨科刘傥教授团队在《Experimental Hematology & Oncology》杂志(IF:11.4)发表题为“Harnessing Ferroptosis for Enhanced Sarcoma Treatment: Mechanisms, Progress and Prospects”的综述论文。
作为一种起源于间叶组织的恶性肿瘤,肉瘤的常用治疗方法是手术辅以放疗和化疗。但目前,肉瘤患者的5年生存率只有大约60%,并且经常对化疗产生耐药性。铁死亡是一种铁依赖性非凋亡型的程序性细胞死亡模式,与肿瘤发生、神经系统病变等其他疾病的病理生理过程密切相关。铁死亡可以通过多种途径来诱导及调节,这些调节途径有望成为疾病治疗的靶点。最近的研究表明,诱导肿瘤细胞铁死亡是杀灭肉瘤并降低其对化疗药物耐药性的有效方法。而且,铁死亡相关基因与免疫系统有关,它们的表达情况可用于预测肉瘤预后。因此,刘傥教授团队在这篇综述中详细描述了铁死亡的分子机制,系统总结了铁死亡以各种方式应用于肉瘤治疗的最新研究进展,并指出了铁死亡理论研究的空白,其临床应用的挑战,以及这些挑战的潜在解决方案,以促进铁死亡成为一种有效、可靠的新型临床肉瘤治疗手段。

原文链接:DOI: 10.1186/s40164-024-00498-3
郭文斌/吕东升团队最新研究发现大脑前扣带回功能活动的降低可能是双相情感障碍独立于临床相的特征性改变
近日,中南大学湘雅二医院精神科郭文斌、吕东升教授团队在《Psychiatry Research》(IF=11.3)上发表了题为“Similar imaging changes and their relations to genetic profiles in bipolar disorder across different clinical stages”的原创性研究。
该研究采用了基于静息态功能磁共振成像(rs-fMRI)的比率低频振幅(fALFF)方法,对双相情感障碍(BD)的三种临床相(抑郁相、躁狂相、缓解相)患者和健康对照(HC)进行了研究。该研究发现,大脑前扣带回(ACC)功能活动的降低可能是BD独立于临床相的特征性改变,并与他们的认知损伤相关联。此外,通过脑影像-转录关联分析,研究团队还发现了2556个BD患者中与大脑功能活动改变相关的基因,这些基因主要富集于突触和离子传递等通道。这项工作为BD患者未来的物理干预和药物治疗提供了潜在的靶点,并提供了BD不同临床相的脑功能差异的转录组学信息。

全文链接:https://pubmed.ncbi.nlm.nih.gov/38554494/
李卫晖课题组在探究抑郁障碍再入院风险因素方面取得进展
近日,中南大学湘雅二医院精神科李卫晖教授课题组在期刊《Psychiatry Research》(IF: 11.3)上在线发表了题为“Dynamic risk factors of psychiatric readmission for major depressive disorder: A longitudinal study on patients treated with mono-antidepressant”的原创性论文。
抑郁障碍是全球疾病负担的主要原因之一,很大原因是由于其存在高复发风险的特征,而再次于精神科入院治疗被认为是抑郁障碍患者病情复发的重要指标。本研究在大样本的回顾性队列中,创新性地在控制了抗抑郁药这一关键协变量的基础上,采用多重随访时间窗对抑郁障碍患者再入院风险因素及其演变轨迹进行探索。该研究不仅识别了抑郁障碍再次入院的独立风险因素,还揭示了以上风险因素对再入院的影响程度随着随访时间窗的延长而改变的特征。这项研究为探索与抑郁障碍复发相关的社会人口学和生物学标志提供了理论参考。

湘雅二医院整形美容(烧伤)外科团队在生物材料期刊《Biomaterials Research》在线发表研究论著文章
近日,中南大学湘雅二医院整形美容(烧伤)外科团队在生物材料期刊《Biomaterials Research》(2023 IF=11.3, JCR Q1,中科院一区)在线发表了题为“Microenvironment Remodeling Self-Healing Hydrogel for Promoting Flap Survival”的研究论著文章。

随机皮瓣移植是整形外科和重建外科中用于修复和重建大型组织缺损的常规手术。皮瓣坏死主要由缺血再灌注损伤和远端皮瓣供血不足引起。缺血-再灌注损伤导致过量活性氧的产生,从而产生损害细胞功能和血管生成的病理微环境。在这项研究中,团队开发了一种微环境重塑自修复水凝胶[昆布-壳聚糖基水凝胶负载细胞外囊泡泡和氧化铈纳米酶(LCH@EVs&CNZs)]改善皮瓣微环境,协同促进皮瓣再生和存活。以昆布多糖和羧甲基壳聚糖为原料,通过席夫碱反应制备了天然自愈合水凝胶(LCH)。氧化铈纳米酶(CNZs)是一类具有酶活性的纳米材料,以其对活性氧的强清除能力而闻名,从而减轻氧化应激。细胞外囊泡(EVs)是一种细胞分泌的囊泡结构,含有数千种生物活性物质,可以促进细胞增殖、迁移、分化和血管生成。本研究创造性的提出了一种新的治疗策略,即使用水凝胶联合纳米酶与EVs,实现病理微环境重塑的同时,促进组织修复,在再生医学领域具有很强的研究和应用前景。
原文链接:DOI: 10.34133/bmr.0001
李霞/刘姗姗课题组发表细胞外囊泡在非酒精性脂肪性肝炎中作用的系统综述
近日,中南大学湘雅二医院代谢内分泌科李霞教授与刘姗姗教授在国际知名学术期刊《Journal of Advanced Research》(IF= 10.7)在线发表了题为《The role of extracellular vesicles in non-alcoholic steatohepatitis: Emerging mechanisms, potential therapeutics and biomarkers》的综述,系统综述并深入探讨了细胞外囊泡(EVs)在非酒精性脂肪性肝炎(NASH)发生发展中的机制,以及干细胞衍生EVs作为NASH潜在治疗策略的临床前证据。此外,该综述还总结了将EVs作为NASH的临床诊断、分期和预后生物标志物的相关证据,并期待进一步的深入研究可促使EVs成为NASH的新型治疗和诊断策略,最终使患者获益。

周智广/李霞团队在中国1型糖尿病研究取得新进展
近日,中南大学湘雅二医院代谢内分泌科周智广教授、李霞教授团队在内分泌领域知名杂志Diabetes Metabolism Research and Reviews(《糖尿病/代谢研究与评论》)在线发表了题为“Care, control and complications of hospitalised patients with type 1 diabetes in China: A nationwide-based registry study”的研究论文。这是一项基于中国1型糖尿病研究(China Diabetes Type 1 Study,CD1S)回顾性调查研究,旨在评估中国1型糖尿病(T1D)的管理现状以及住院患者的特点。
研究结果显示,中国T1D患者的代谢控制情况并不理想,平均糖化血红蛋白高达10.7%;以糖尿病酮症酸中毒起病的患者比例仍达41.1%,特别是在10岁以下的患儿中高达50.6%;在非新起病的住院患者中,即使病程较短,患者也面临着各种微血管并发症的困扰,60.7%的患者至少具有1个糖尿病慢性并发症的诊断;而在病程≥10年的住院1型糖尿病患者中,慢性并发症的患病率更是高达79.2%。CD1S回顾性研究为我们提供了中国T1D患者全面的群体画像,有助于我们更好地了解中国T1D患者的总体情况,同时探索了各不同地区糖尿病管理的差异,为提高患者的治疗效果和生活质量提供科学依据。
左笑丛/周文虎团队在国际权威期刊发表肾脏靶向基因治疗研究成果
近日,中南大学湘雅三医院左笑丛教授团队与中南大学湘雅药学院周文虎教授团队在Chemical Engineering Journal(《化学工程杂志》中科院1区Top期刊,IF=15.1)杂志上以Research Article形式联合发表题为“A renal-targeted gene delivery system derived from spermidine for arginase-2 silencing and synergistic attenuation of drug-induced acute kidney injury(亚精胺衍生的肾脏靶向基因递送系统通过沉默精氨酸酶2协同缓解药源性肾损伤)”的原创研究论文。左笑丛教授团队联合湘雅药学院周文虎教授团队共同构建了一种新型siRNA递送系统,该系统以亚精胺(SPD)为单体开发了一种pH响应型阳离子聚合物基因载体(PSPD),其保留了SPD的多种内在活性,在与Arginase-2 siRNA自组装形成纳米粒后,可通过协同促进线粒体自噬、减轻氧化应激和抑制细胞凋亡等机制缓解DI-AKI。为了增强肾脏靶向性,将肾脏靶向肽修饰的透明质酸(HA-KTP)壳层涂覆在PSPD/siRNA复合物上,以此构建的肾脏靶向基因递送系统(HA-KTP/PSPD/siRNA)显示出对肾小管上皮细胞的高度特异性。在体内外模型中,递送系统均显示出对DI-AKI的良好干预效果。

原文链接:https://www.sciencedirect.com/science/article/pii/S1385894724016115
陆瑶团队再次在欧洲心脏病杂志《European Heart Journal》发表“癫痫心”相关重要成果
近日,中南大学湘雅三医院陆瑶教授团队再次在国际心血管领域顶级期刊《欧洲心脏杂志》(European Heart Journal,IF:39.3,中科院一区)以期刊论文(Journal Article)发表关于“癫痫心”的文章,这也是陆瑶教授团队2023年在该杂志发表癫痫患者长期心律失常风险之后再次发表关于“癫痫心”的研究。
此前陆瑶团队围绕癫痫患者的心血管病风险问题,基于真实世界数据系统性探索了癫痫患者的心血管远期预后情况,并应用遗传学层面证据探讨癫痫-心律失常关联的独立性,首次提出癫痫患者长期心律失常风险增加,且独立于遗传易感性,相关成果2023年9月发表于同一期刊,在国际上引发重大反响。该研究成果弥补了当前癫痫患者长期心律失常的风险预测和评价关注不足、研究不足的问题,获“癫痫心”提出者维利尔(R.L. Verrier)教授高度赞扬,进一步证实了“癫痫心”的远期管理的必要性。此次,陆瑶教授团队受邀针对“癫痫心”的远期心律失常风险问题提出重要见解,强化进一步探索可靠标志物,以及“癫痫心”发生发展的病理生理学机制,加强监测、预防和治疗策略。

原文链接:https://academic.oup.com/eurheartj/article/45/10/855/747 8702?login=false
吴松/曹旭团队在权威期刊发表3D生物打印细胞支架治疗骨缺损新进展
近日,中南大学湘雅三医院吴松教授课题组和中国科学院杭州医学所赵明教授团队合作,在中科院1区TOP期刊《化学工程杂志》(Chemical Engineering Journal,IF=15.1)上发表题为“双模型生物制造具有浓缩生长因子和内皮细胞的血管通路的多孔仿生支架用于修复骨缺损(Dual-model biomanufacturing of porous biomimetic scaffolds with concentrated growth factors and embedded endothelial vascular channels for bone defect regeneration)”的研究论文,介绍了一种基于复合3D生物打印具有内部血管网络的多孔仿生骨支架联合浓缩生长因子用于治疗临界骨缺损的新技术。吴松教授团队与中国科学院杭州医学所赵明教授团队对此展开了深度的技术攻关合作,通过双模型生物制造的方法成功制备了高度血管化的骨组织工程支架,预血管仿骨支架具有合适的多孔结构、孔隙率,一定的力学强度,内部具备自组装的多层次的3D血管网络。同时缓释的浓缩生长因子增强了仿生支架的成血管和成骨能力。动物实验结果证明该预血管仿骨支架能有效并快速地与宿主血管整合,协同发挥成骨诱导作用,具有增强的促血管生成和新骨形成能力,在治疗临界骨缺损中展现出了突出优势。这种血管化组织移植策略具有多方面的优点,为构建大规模血管化骨移植物提供了有价值的依据和积极的启示。

原文链接:https://doi.org/10.1016/j.cej.2024.148933
邓幼文团队在国际权威学术期刊《Bioactive Materials》发表生物材料重要研究成果
近日,中南大学湘雅三医院脊柱外科邓幼文教授团队在国际权威学术期刊Bioactive Materials(IF=18.9中科院一区Top期刊)在线发表高水平研究论文“Microenvironment-responsive metal-phenolic network release platform with ROS scavenging, anti-pyroptosis, and ECM regeneration for intervertebral disc degeneration”(具有ROS清除、抗焦亡和ECM再生的微环境响应型金属酚网络释放平台用于椎间盘退变治疗)。在这项研究中,该团队创新性的将锰离子、单宁酸和聚乙烯吡咯烷酮(Polyvinyl pyrrolidone, PVP)自组装形成纳米颗粒(TMP纳米颗粒),并与Alg-PBA水凝胶混合,从而形成一个微环境响应的多功能金属-酚网络释放平台(TMP@Alg-PBA/PVA)。体外研究表明,该平台在遇到ROS的环境时,微环境中H2O2和硼原子配位后,硼酸盐键断裂,水凝胶的网络结构崩解并释放出TMP纳米颗粒,释放的纳米颗粒可以靶向线粒体,有效清除ROS,减少细胞焦亡,阻碍ECM降解。体内实验证实了该平台具有良好的生物相容性,防止细胞焦亡,并增加IVD中的含水量,进而抑制IVDD的进展。同时该团队还进一步探索了相关机制,通过蛋白组学和转录组学,明确了IL-17/ERK信号通路为该平台发挥抗焦亡作用的关键分子通路,这一发现为后续焦亡的治疗提供新的潜在靶点。总体而言,该团队开发的TMP@Alg-PBA/PVA平台具有良好生物相容性,在治疗椎间盘退变的同时延缓其进程,为临床治疗IVDD提供了一种新思路。

朱晒红/朱利勇课题组在国际权威学术期刊发表肥胖相关男性生殖功能研究重要成果
继2023年9月中南大学湘雅三医院胃肠外科Ⅱ科朱晒红、朱利勇教授团队于国际权威学术期刊《International journal of surgery》(《国际外科学杂志》,IF=15.3)在线发表高水平论文后,近日,该团队再次发表"Effect of laparoscopic sleeve gastrectomy on male reproductive function in Chinese men with obesity: A prospective cohort study”(《腹腔镜袖状胃切除术后中国肥胖男性生殖功能影响:一项前瞻性队列研究》)”。在该前瞻性队列研究中,通过实验室检查和问卷调查揭示了在减重术后男性勃起功能具有显著提高,同时,精液质量在术后3个月可能因为营养摄入等原因出现短暂下降,但是在术后12个月精液质量得到了显著的恢复,并且相比较于术前有显著的提高。此外,研究者发现减重手术后睾酮水平异常改善、胰岛素抵抗改善以及微量元素水平变化,与精液质量以及勃起功能改善密切相关,这一全新观点的提出为肥胖相关生殖功能的研究提供了重要的临床线索。因此,对于肥胖男性来说,减重和采取健康的生活方式是改善生殖功能的重要措施之一。

周文虎团队在《Research》杂志发表最新研究成果
近日,湘雅药学院周文虎教授团队和中南大学湘雅医院皮肤科赵爽副研究员团队合作,设计了一种“AND”逻辑门控的可选择性激活的新型光敏剂递送系统用于皮肤癌的精准治疗。相关成果以“Activable Photodynamic DNA Probe with an "AND" Logic Gate for Precision Skin Cancer Therapy”为题目发表在Research(中科院1区Top期刊,IF=11.0)上。
目前,光动力疗法(PDT)因其表面组织渗透、精准的时空控制和相对非侵入性等特点,已在皮肤相关的癌症治疗中展现出显著的应用潜力和天然的优势。但肿瘤缺氧、获得性耐药以及对周围正常组织的光毒性等因素严重影响了PDT的疗效、安全性以及患者依从性。现有的治疗策略主要集中于提高PDT的疗效,而忽略了光敏剂对正常周围组织的潜在毒副作用。研究团队受检测性DNA探针设计策略的启发,构建了一种具有AND逻辑门控的可选择性激活的DNA探针。该DNA探针不仅能够特异性在肿瘤细胞中积累并被活化,从而实现靶向PDT,降低对周围正常组织的光毒性;且其可通过下调肿瘤细胞中Survivin基因的表达以及催化胞内高表达的H2O2产生O2,逆转肿瘤耐药及缺氧等限制,协同增强PDT。

原文链接:DOI:10.34133/research.0295.
周文虎团队在《Acta Pharmaceutica Sinica B》杂志发表最新研究成果
近日,湘雅药学院周文虎教授团队开发了一种可批量生产的纳米晶为老药双硫仑的临床应用提供了新的可能。相关成果以“Repurposing disulfiram with CuET nanocrystals: Enhancing anti-pyroptotic effect through NLRP3 inflammasome inhibition for treating inflammatory bowel diseases”为题目发表在Acta Pharmaceutica Sinica B(中科院1区Top期刊,IF=14.5)上。本研究团队基于早期研究:DSF在体内可代谢为二乙基二硫代氨基甲酸酯(DTC),DTC可与Cu2+结合形成CuET,创新性地发现Cu2+提高DSF抗焦亡活性是由于形成了CuET,并且构建了可批量生产的CuET纳米晶体,解决了CuET溶解度和渗透性差的难题。研究结果显示,相较于CuET,CuET纳米晶的生物利用度显著提高了6倍,并且还通过抑制细胞焦亡上游环节——NLRP3炎性小体组装,进一步提升其抗焦亡能力,在小鼠脓毒症模型中展示了很好的保护作用。此外,研究团队还分析了CuET纳米粒的生物体分布,发现其具有肠道高分布特性,于是进一步构建了小鼠肠炎模型,并证明了CuET纳米晶具有显著的抗炎抗焦亡作用,并可显著改善肠炎症状。
本项工作明确阐明了CuET在抑制NLRP3炎症小体诱导的焦亡中的作用机制,为NLRP3炎症小体相关疾病的治疗提供了一种新的策略。此外,CuET纳米晶的开发解决了CuET的药物局限性,提高了其生物利用度,并展示了其临床转化的潜力。这些发现为进一步开发和临床应用CuET纳米晶治疗炎症性肠病等相关疾病奠定了基础。

原文链接:https://doi.org/10.1016/j.apsb.2024.03.003
项荣团队在胃肠道疾病的靶向治疗方面提出新见解
近日,生命科学学院项荣教授团队应邀在Cell Press旗下的综述性期刊Trends In Endocrinology And Metabolism(《内分泌和代谢趋势》)(IF=13.3)上在线发表了题为“Mitochondrialdysfunction inlipidprocessing andgastrointestinaldisorders(脂质加工与胃肠道疾病中的线粒体功能障碍)”的热点文章(Spotlight)。在文章中,作者应邀评述了Chrysanthi Moschandrea等发表在最新一期Nature期刊上题为“Mitochondrial dysfunction abrogates dietary lipid processing in enterocytes(线粒体功能障碍损害肠上皮细胞的膳食脂质加工)”的研究文章。
人类基因组含有17个线粒体氨基酰-tRNA合成酶(mt-AaRSs)基因,负责编码线粒体蛋白质合成系统使用的所有mt-AaRS。在这些mt-AaRS中,DARS2可催化tRNA氨基酰化反应,生成天冬氨酰-tRNA。长期以来,DARS2在胃肠道疾病中的功能并未明确。最近一项研究显示,肠上皮细胞的线粒体功能障碍,特别是由于mt-AaRS之一的DARS2的缺乏,将显著增加脂滴积累并阻碍膳食脂质向外周器官的运输。DARS2在肠上皮细胞(IECs)特异性敲除的小鼠虽然在胚胎阶段可存活,但也表现出明显的体重减轻、生长发育迟缓和生存时间缩短等表型。机制上,IECs中DARS2的缺失影响了线粒体呼吸链复合物的形成,显著上调了IECs中的脂质蓄积。DARS2的缺失还通过减少ApoB48的表达而影响乳糜微粒(CM)的生成。此外,IECs中DARS2的缺失也引发了高尔基复合体的异常,导致CM加工和分泌的失调,最终影响脂质向血浆和外周器官(包括肝脏、脂肪组织)的转运。文章中探讨了DARS2缺乏如何影响IECs的脂质加工,揭示了其对线粒体功能、脂滴蓄积和乳糜微粒产生的影响,强调了由DARS2缺乏引起的线粒体功能障碍与胃肠道疾病之间的潜在联系,为线粒体异常导致胃肠道疾病的靶向治疗提供了新的见解。

李家大与合作者发现CNTNAP2突变导致孤独症的新机制
近日,生命科学学院李家大与合作者在国际权威期刊《信号转导与靶向治疗》(Signal Transduction and Targeted Therapy)(IF=39.3)发表了“CNTNAP2突变影响α-分泌酶剪切,导致孤独症样的表型(Contactin-associated protein-like 2 (CNTNAP2) mutations impair the essential α-secretase cleavages, leading to autism-like phenotypes)”的研究论文。在本研究中,来自瓯江实验室/温州医科大学、中南大学、首都医科大学的科研人员合作发现α-分泌酶(ADAM10/17)是剪切孤独症相关CNTNAP2蛋白以实现其生理功能所必需的蛋白酶;CNTNAP2基因突变影响其α-分泌酶剪切是导致孤独症的重要机制之一。该研究成果提示CNTNAP2酶切及其产物为孤独症药物开发的新靶点。
在最新的研究中,该合作团队发现在γ-分泌酶剪切之前需要其他蛋白酶的处理。Furin和α-分泌酶(ADAM10/17)分别对CNTNAP2进行蛋白酶解,其中CNTNAP2经ADAM10剪切产生C79是后续γ-分泌酶剪切的关键步骤。孤独症患者中发现的I1254T突变抑制了α-分泌酶对CNTNAP2的剪切,致使C79生成水平显著降低;CNTNAP2-I1254T基因敲入小鼠呈现出孤独症样表型,而过表达C79可显改善CNTNAP2-I1254T基因敲入小鼠和CNTNAP2基因敲除小鼠的孤独症样表型。这项研究不仅表明α-分泌酶在CNTNAP2蛋白代谢和功能中的重要作用,而且提示α-分泌酶剪切产物C79可能具有治疗孤独症的潜力。

袁玲团队合作揭示KCTD10调控大脑发育的新机制
近日,生命科学学院袁玲教授与中科院遗传发育所许执恒研究员团队合作,在期刊PNAS(《美国国家科学院院刊》)(IF=12)上发表了题为“KCTD10 regulates brain development by destabilizing brain disorder-associated protein KCTD13(KCTD10通过降解脑疾病相关蛋白KCTD13参与大脑发育)”的研究论文,报道了KCTD10通过泛素化降解KCTD13调控大脑神经发育过程。
本研究首次系统地阐明了KCTD10在大脑发育过程中的生理功能与调控机制,创新性地发现KCTD10在不同发育阶段的特定细胞群中表达,特异性地调控大脑不同层神经元的产生,该研究拓展了传统的神经发生理论框架。此外,KCTD10泛素化降解的新底物KCTD13,位于16号染色体的16p11.2区域,16p11.2的缺失和重复是多种神经精神疾病的高遗传风险因素。KCTD13已被确定是高风险孤独症与精神分裂症的致病基因。因此,该研究为在孤独症等脑发育疾病病人中筛查KCTD10突变提供了理论依据,为KCTD13拷贝数变异导致的相关疾病的发病机制和治疗提供了新思路。

附属儿童医院免疫组研究团队揭示DHA通过增强NK细胞效应功能发挥抗肿瘤功能
近日,谈球吧附属儿童医院儿科医学研究所免疫团队在《Cancer Immunology Research》(中科院一区,IF=10.1)杂志上发表了题为“The ω-3 polyunsaturated fatty acid docosahexaenoic acid enhances NK-cell antitumor effector functions”的原创性论文。既往对DHA的抗肿瘤活性存在一定争议,本项研究发现DHA补充导致T和B细胞数量减少但不会影响NK细胞数量,同时通过上调NK细胞中PGC-1α信号介导的线粒体氧化磷酸化(OXPHOS)活性促进IFN-γ分泌以及CD107a的表达进而发挥抗肿瘤作用。这项研究发现DHA对不同的免疫细胞具有不同的作用在一定程度上解释了DHA抗肿瘤活性存在争议的问题,也为后续发现特异性增强NK细胞效应功能的DHA代谢产物提供实验依据。
